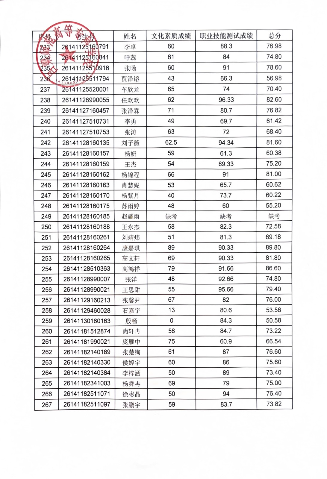
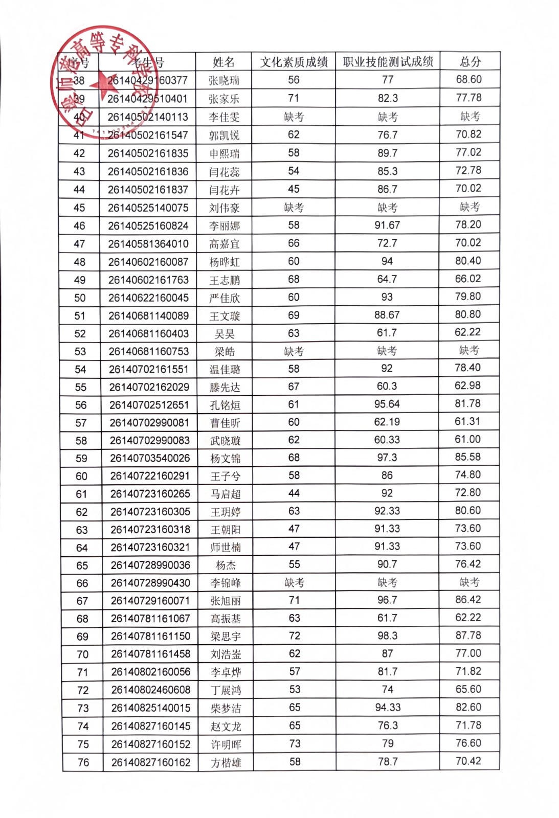
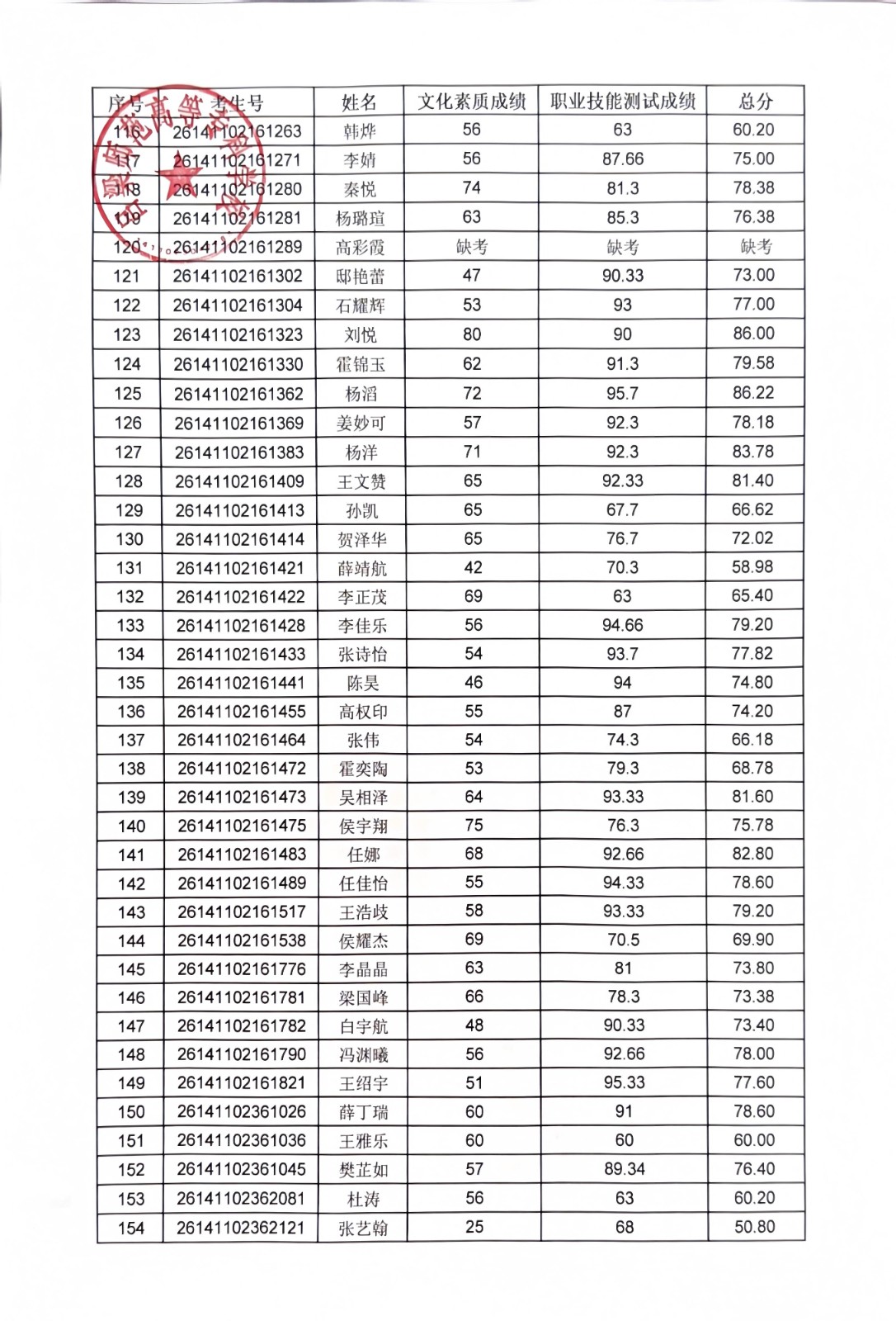
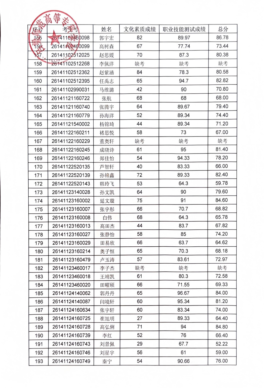
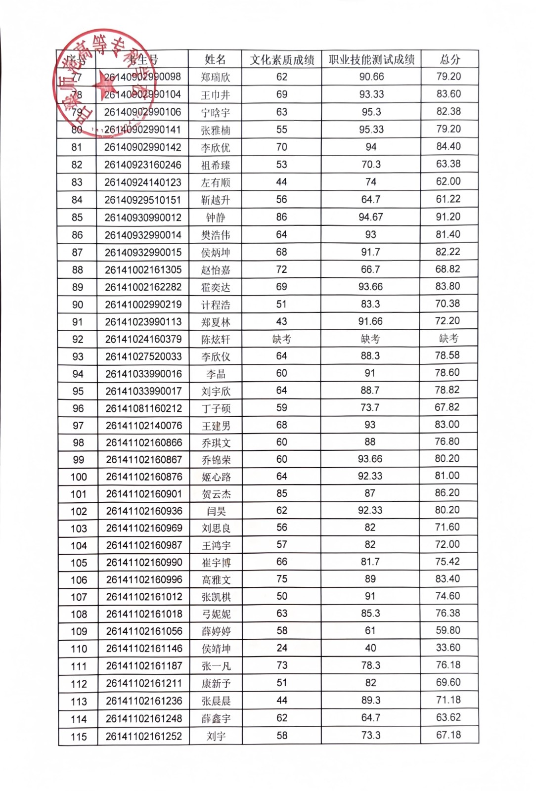
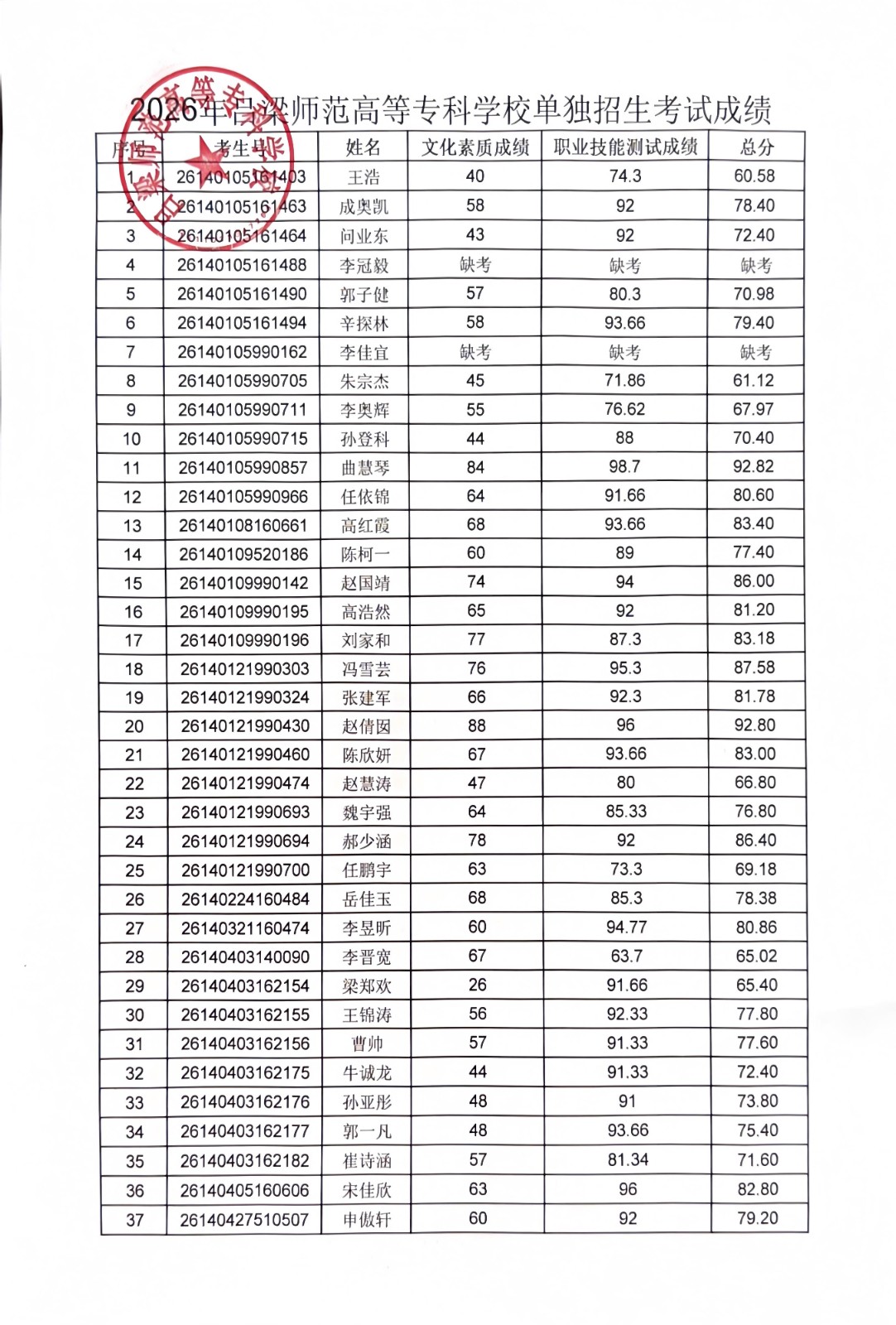
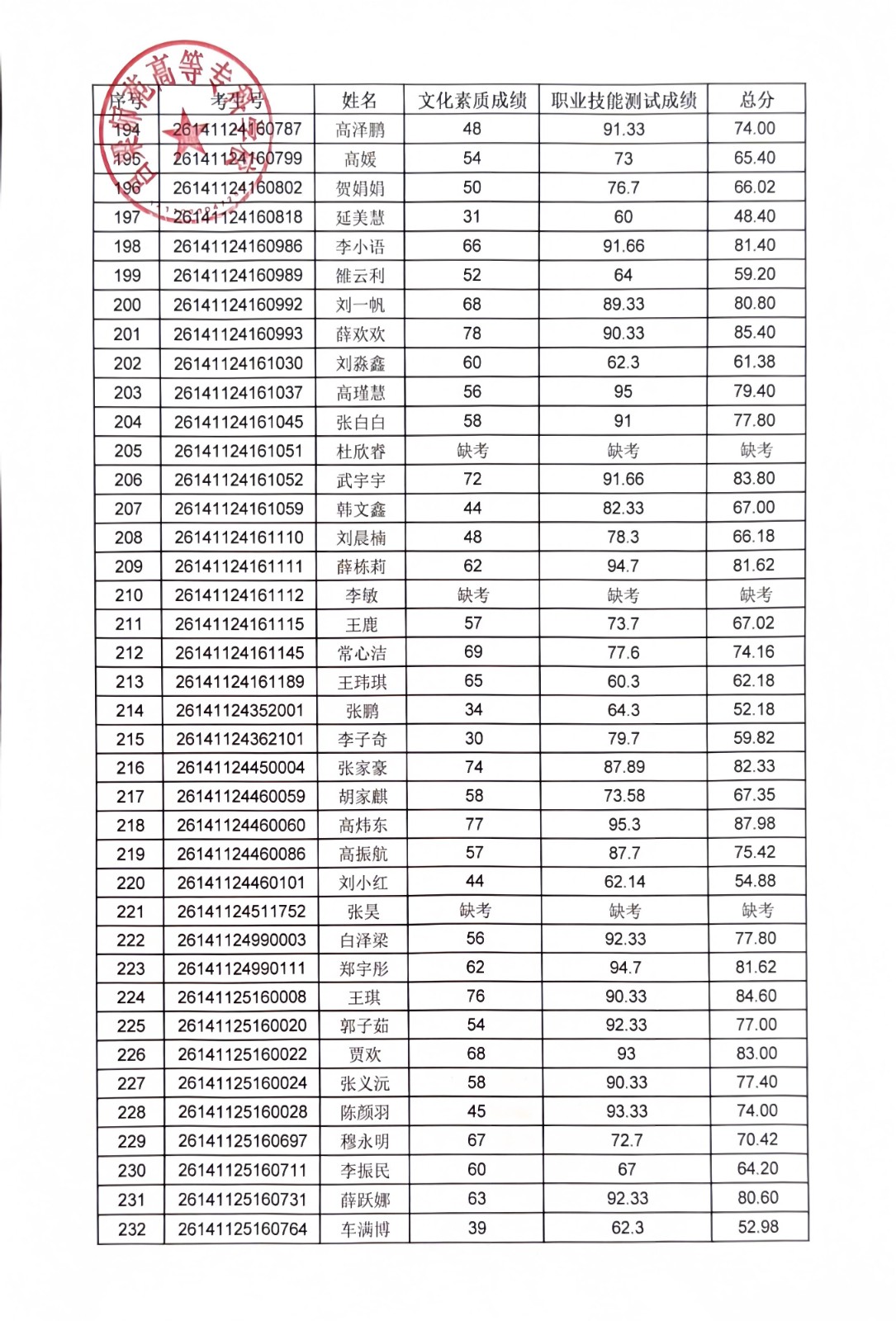
2026年吕梁师范高等专科学校单独招生考试成绩公示
根据山西省单独招生工作统一部署及我校招生工作安排,本着公平、公正、公开、择优的原则,我校已完成2026年单独招生考试评卷、成绩汇总及审核工作。
现将考生考试成绩予以公示, 成绩公布之后,考生如对本人成绩有异议,请于4月15-17日拨打我校电话进行复核,电话:17836187168
预录取结果将于近期在我校官网公布,请考生耐心等待。
关注吕梁师范高等专科学校公众号